Упр.595 ГДЗ Колягин Ткачёва 9 класс (Алгебра)
Решение #1

Рассмотрим вариант решения задания из учебника Колягин, Ткачёва, Фёдорова 9 класс, Просвещение:
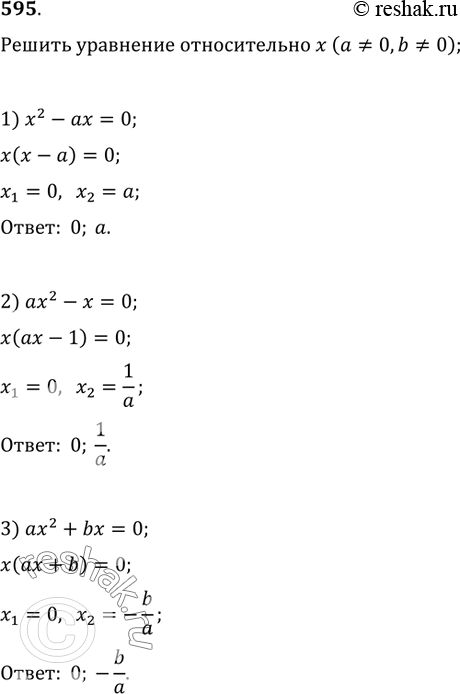
595. Решить уравнение относительно x (a?0, b?0):
1) x^2-ax=0; 2) ax^2-x=0; 3) ax^2+bx=0;
4) x^2/a+x/b=0; 5) ax^2/b+x=0; 6) ax^2/b-x/a=0.
*размещая тексты в комментариях ниже, вы автоматически соглашаетесь с пользовательским соглашением